728x90
반응형
극한(파괴)한계 설계법
강도설게법은 극한하중하에서 파괴에 가까운 상태에 있는 부재의 강도인 극한강도를 기준으로 설계하는 방법.
기본가정
- 철근 및 콘크리트의 변형률은 중립축으로부터 거리에 비례한다. 즉, 하중이 가해진 후에도 단면은 평면을 유지
- 압축 측 연단에서 콘크리트의 극한변형률은 0.003으로 가정한다. 이것이 파괴의 기준이다.
- 항복강도 fy이하에서 철근의 응력은 그 변형률의 Es배로 본다. 항복강도에 해당하는 변형률보다 더 큰 변형률에 대하여도 철근의 응력은 그 변형률에 관계없이 fy와 같다고 가정한다.
- 콘크리트의 인장강도는 무시하고 설계한다. 실제로 철근이 항복하는 상황에 도달하면 콘크리트가 전달하는 인장력은 매우 작다고 할 수 있다.
- 콘크리트의 압축응력의 분포와 관계는 직사각형, 사다리꼴, 포물선 또는 기타 어떤 형상으로든지 가정할 수 있으나, 적절한 시험에 의해 그 강도를 미리 알아 낼 수 있는것이라야 한다.
- 앞의 요구사항은 다음에 정의되는 등가직사각형 응력분포로 생각해도 좋다. 즉, 콘크리트의 압축응력이 0.85fck로 균등하고, 이 응력이 압축연단으로부터 a=b1c까지 등분포한다고 가정.
단면의 옹력분포가정 / 콘크리트의 응력-변형률 가정 / 철근의 응력-변형률 가정

극한(파괴)한계 설계법
- 극한한계 설계법은 콘크리트와 철근이 받을 수 있는 최대강도를 기준으로 계산하므로 비선형 범위에까지 이르게 된다.
- 하중계수를 통하여 여러 하중의 불확실성을 반영한다.
- 강도감소계수를 통하여 모멘트, 전단, 비틀림, 축력 등 다양한 부재 강도에 대한 계산의 신뢰성을 달리 반영한다.
- 현재 ' 콘크리트구조기준'은 한계상태 설계법을 기준으로 하고 있다.
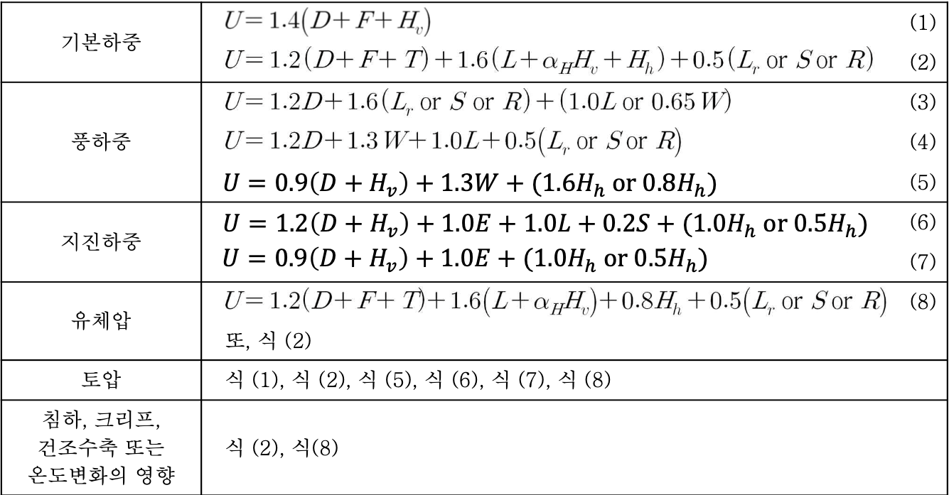
강도감소계수,부재의공칭강도,부재에 동시에 작용하는 여러 하중 가운데 i번째의 하중,Li의 불확실성의 정도에 따라 정해지는 하중게수


구조물에 작용할는 하중
- 고정하중 - 자중처럼 사용기간 동안 크기가 일정하고 위치가 고정되어 있는 하중을 말한다.
- 활하중 - 작용위치 및 크기가 불확실한 하중이다.
- 풍하중
- 지진하중
- 토압
- 수압
- 온도하중
- 설하중
하중계수

- D=고정하중
- L=활하중
- E=지진하중
- F=유체의 압력 및 중량
- Hh=횡방향 토압과 지하수압
- Hv=연직방향 토압과 지하수압
- Lr=지붕 활하중
- R=강우 하중
- S=적설하중
- T=온도,크리프, 건조수축 및 부동침하의 영향
- W=풍하중
강도감소계수
| 인장지배 단면 | 0.85 |
| 압축지배 단면 - 나선 철근으로 보강된 부재 - 그 이외의 부재 |
0.70 0.65 |
| 전단과 비틀림 | 0.75 |
| 콘크리트의 지압 | 0.65 |
| 포스트텐션 정착구역 | 0.85 |
| 스트럿-타이모델에서 스터럿, 타이, 절점부 및 지압부 | 0.75 |
| 무근 콘크리트 | 0.55 |
사용성 평가시 하중계수 : 1.0
사용성 : 처짐이 작을 것, 균열은 허용한계 이내의 폭으로 작을 것, 진동이 작을 것 등을 요구함


- 공동주택의 공용실 활하중 조정
- 병원, 사무실, 학교, 도서관의 복도 활하중 강화
- 주차장 및 옥외차도 활하중을 차량 종별이 아닌 총중량 별로 규정함
- 출입이 제한된 지붕 조경구역 활하중 추가
- 발코니 활하중 일괄 규정
- 로비 및 복도 활하중 일괄 규정
- 모든 용도의 로비 및 1층 복도 활하중 강화
- 병원, 사무실, 학교, 도서관의 1복도 활하중 강화
- 계단 활하중 추가하여 정리
설계법의 비교
허용응력 설계법
- 부재의 강도를 알 수 없다.
- 파괴에 대한 두 재료의 안전율를 일정하게 하기가 곤란하다.
- 부재가 파괴가 일어날 때까지의 안전에 대한 여유치를 평가하는 것이 어렵다.
- 각 하중이 미치는 서로 다른 영향을 구별해서 반영하기 어렵다.
한계상태 설계법
- 부분안전계수를 사용하여 하중 및 각 재료에 대한 특성을 합리적으로 반영한다.
- 안정성은 극한 한계상태를 검토하고, 사용성은 사용 한계상태를 검토하여 확보한다.
- 세계적인 설계법의 발전 방향이라 할 수 있다. 현재 진행형이다.
반응형
그리드형
'건축 > 건축구조' 카테고리의 다른 글
| 건축 RC구조 철근콘크리트의 사용성 [ 처짐, 하중, 휨강성과 단면2차모멘트] (1) | 2022.11.13 |
|---|---|
| 건축 철근의 최소 피복두께 제한과 사용성 (2) | 2022.11.12 |
| 단열의 단열공법 및 특성 [건축재료 단열재 종류] (0) | 2022.10.20 |
| 건축 유권해석 [소방설계와 건축설계용역 / 연결브리지 바닥면적 산입 / 피난거리 부속실 출구/ 정화조 중간관리층 바닥면적 대상 여부] (0) | 2022.10.12 |
| 건축재료 콘크리트 철근콘크리트 개념정의 (1) | 2022.10.11 |
댓글