728x90
반응형
콘크리트 배합과 비빔
- 콘크리트를 배합 시 콘크리트의 구성요소의 비는 콘크리트의 적당한 강도, 작업성, 경제성 등을 고려하여 결정
배합비
- 시멘트 한 포당(40kg) : 물 20kg : 모래 100kg : 굵은골재 170kg
- 단위부피(1m3)의 굳지 않은 콘크리트를 만들기 위한 각각의 요소의 질량은 시멘트 320kg, 물 180kg, 모래800kg, 굵은골재 1000kg
(휨인장강도는 굵은 골재와 모르타르사이의 부착강도에 의해 영향을 받습니다.)
물-시멘트비와 강도와의 관계
물이 적으면 강도가 높아진다. 물이 너무 적으면 작업성(workability)이 떨어진다.

콘크리트의 재료 : 슬럼프
슬럼프는 작업성(workability)을 측정하는 기준이 된다. 보통 50~150mm의 슬럼프 사용

- 작업성 (workability) : 작업의 난이도 및 재료분리 저항성
- 반죽질기(consistency): 콘크리트 반죽질기 정도
콘크리트의 재료 : 재료분리
발생원인
- 부적절한 배합
- 입경이 큰 재료의 비율이 과다
- 단위수량이 과다
- 진동다짐 과다
콘크리트의 압축강도
콘크리트의 압축강도 : 재령 28일 강도
- 공시체의 종류 : 150 x 300mm 실린더 (기준)
- 표준양생 : 28일 동안 20'c +- 3'c로 습윤양생
- KS F 2401(굳지 않은 콘크리트의 시료 채취방법)에 따라 채취
- KS F 2403(콘크리트의 강도 시험용 공시체 제작 방법)에 따라 제조
- KS F 2405(콘크리트의 압축강도 시험방법)에 따라 압축강도 실험
- 원주공시체의 강도 fc 또는 f28로 표시
공시체 / 압축강도 실험

재령과 압축강도와의 관계
- 1주일 후 : 28일 강도의 70%
- 2주일 후 : 28일 강도의 85% ~90%
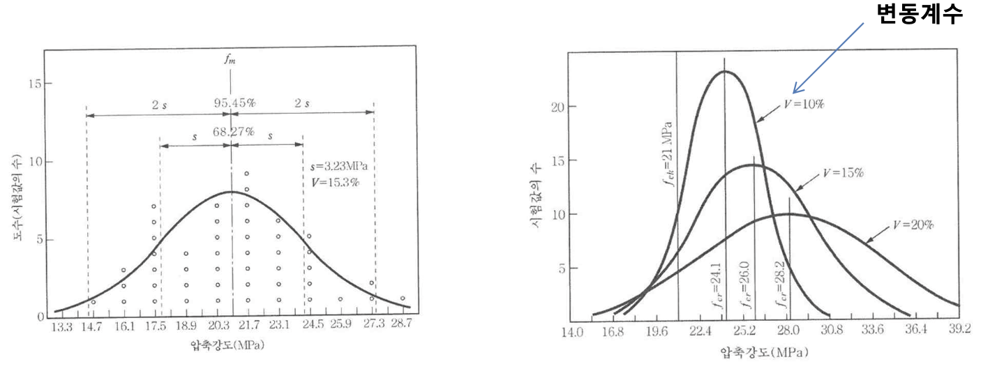
설계기준압축강도 및 배합강도
- 설계기준강도 fck는 구조물의 설계에서 정해서 사용하는 콘크리트 강도
- 배합강도 fcr는 실제 구조물을 건설할 때 사용하는 콘크리트 강

압축강도의 도수분포의 예 / 설계기준압축강도와 배합강도의 관계
시험이 30회 이상 시험기록이 있는 경우

콘크리트의 응력 - 변형률 곡선
일반 콘크리트의 압축 응력 - 변형률 곡선 / 경량 콘크리트의 압축 응력 - 변형률 곡선

콘크리트의 탄성계수
- 초기접선탄성계수
- 할선탄성계수
- 크리프 탄성계수
- 설계기준에 대한 탄성계수 - 콘크리트 단위중량(mc)이 1450~2500kg/m3 구조용 콘크리트의 실


콘크리트의 재료특성 : 크리프 (Creep)
일정한 응력 또는 하중이 장기간 작용할 때 시간에 따라 지속적으로 변형이 증가하는 현상
하중 재하속도에 따른 응력-변형률 곡선
- 일정한 응력 또는 하중이 장기간 작용할 때 시간에 따라 지속적으로 변형이 증가하는 현상
- 재하 후 처음 28일 동안에 총 크리프 변형률의 1/2정도가 진행됨.
- 처음 3~4개월 동안에 최종값은 3/4 이상 진행됨.
- 2~5년 후에 최종값으로 정지함.
- 크리프 변형률은 탄성변형률(하중이 재하되는 순간 일어나는 변형률의 1.5~3배 정도 됨.
- 크리프 곡선(28일 재령에서 4.1MPa로 가압)
크리프 영향 요소
- 물-시멘트비가 클수록 크리프가 큼
- 콘크리트의 재령이 클 수록 크리프는 작음
- 콘크리트가 놓이는 주위의 온도가 높을수록 크리프는 큼
- 습도가 낮은수록 크리프가 큼
반응형
그리드형
'건축 > 건축구조' 카테고리의 다른 글
| 단열의 단열공법 및 특성 [건축재료 단열재 종류] (0) | 2022.10.20 |
|---|---|
| 건축 유권해석 [소방설계와 건축설계용역 / 연결브리지 바닥면적 산입 / 피난거리 부속실 출구/ 정화조 중간관리층 바닥면적 대상 여부] (0) | 2022.10.12 |
| 철근콘크리트 재료와 압축강도 및 배합강도 (0) | 2022.10.09 |
| RC구조 철근콘크리트 구조의 정의와 기본 개념 (0) | 2022.10.06 |
| 철근콘크리트 RC구조 의미와 역사 (2) | 2022.10.02 |
댓글